四川师范大学物理与电子工程学院梁龙老师近期在《Physical Review B》上以Letter形式发表了一项题为“Current response to axial gauge fields in noncentrosymmetric magnetic Weyl semimetals”的研究成果[Phys. Rev. B 111, L201109 (2025)]。该工作揭示了外尔半金属中一种新颖的电流响应机制,在此基础上预言了“霍尔型磁压电效应”并提出了“电场激发磁振子”的机制,为新一代低能耗电子器件和自旋电子学应用提供了更多的可能性。
外尔半金属是当前凝聚态物理与材料科学前沿的热点领域,因其独特的拓扑性质从而能够实现许多常规材料中不存在的奇特电磁响应。本研究聚焦于一类同时破坏时间反演和空间反演对称性的磁性非中心对称外尔半金属。理论计算表明,这类材料在受到像声波或自旋波之类的扰动时,会产生一种被称为“轴规范场”的有效场,从而诱导出显著的电流。

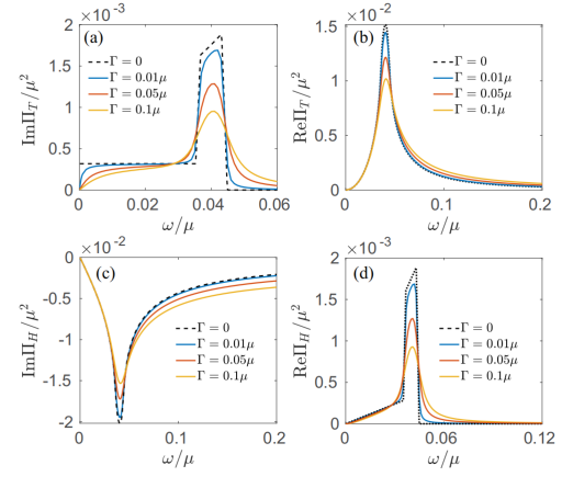
图1:不同杂质散射下横向[(a)-(b)]和霍尔[(c)-(d)]响应函数随频率的变化。
梁龙老师的研究工作系统地计算了纵向、横向以及霍尔电流响应函数,发现横向和霍尔电流比纵向电流大几个数量级,会在特定频率下达到峰值,而且该峰值的高度仅由材料本身的性质决定。另外,该峰值特性对材料中的无序是十分稳健的(见图1),从而极大地提高了在真实材料中观测和应用的可能性。基于这一机制,梁龙老师提出了两种能量转换和信息操控方式:(1)一个横向传播的声波可以诱导出一个垂直于声波传播和振动方向的横向电流。与霍尔效应类似,但由声波而非磁场驱动,因此被称为“霍尔型磁压电效应”。该效应有望用于设计新一代高灵敏度的声学传感器或微纳机械能-电能转换器件。(2)根据文中提出的电流响应机制,磁性非中心对称外尔半金属中的自旋波可以激发电流。该效应的逆过程提供了一种直接用电场来激发磁振子的机制,为实现纯电学手段操控磁子开辟了一条新道路。
该研究工作得到中国国家自然科学基金(项目编号:1220432)的资助。
论文链接:https://link.aps.org/doi/10.1103/PhysRevB.111.L201109
编辑:唐荣 审核:闫从华 终审:廖磊